Home » Without Label » 31+ neu Vorrat Filter Bank : Filter Bank Wikiwand : The polyphase filter bank is common to all layers of mpeg/audio compression.
31+ neu Vorrat Filter Bank : Filter Bank Wikiwand : The polyphase filter bank is common to all layers of mpeg/audio compression.
31+ neu Vorrat Filter Bank : Filter Bank Wikiwand : The polyphase filter bank is common to all layers of mpeg/audio compression.. Filter bank is a fantastic multimode filter for both producers and dj's. Since its debut in 1998, filterbank has become a legend within the audio community. A lowpass filter rejects high frequencies and does not affect low frequencies. More general stft filter banks are obtained by using different windows and hop sizes, but otherwise are no different from the basic dft filter bank. The filter bank uses a prototype lowpass filter and is implemented using a polyphase structure.
It also points out the advantages of fbmc over ofdm. Filter bank is a fantastic multimode filter for both producers and dj's. With every polyphase filter bank i have worked with, the first block in the analysis phase is an ifft, and the block in the synthesis phase is a dft. Easy and fun to use, live and in the studio. Filter bank — noun an array of band pass filters that separates the input signal into multiple components, each one carrying a single frequency subband of the original signal …
Filter Bank Wikipedia from upload.wikimedia.org Relatively simple, the filters provide good. Since its debut in 1998, filterbank has become a legend within the audio community. Filter bank is a fantastic multimode filter for both producers and dj's. Based on high filter technologies, they are working together to find out the. Traditionally, the filters are linearly distributed on perceptual frequency scale such as mel scale. Another application of filter banks is signal compression when some frequencies are more important than others. You can narrow down on a product by selecting the number of channels that you need and selecting the frequency. With every polyphase filter bank i have worked with, the first block in the analysis phase is an ifft, and the block in the synthesis phase is a dft.
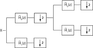
The polyphase filter bank is common to all layers of mpeg/audio compression.
It also points out the advantages of fbmc over ofdm. You can specify the filter coefficients directly or through design parameters. Echo microwave's switched filter banks are designed from skillful engineers for cavity, ceramic and lumped elements. Switched filter banks from the leading manufacturers are listed below. Filter bank — noun an array of band pass filters that separates the input signal into multiple components, each one carrying a single frequency subband of the original signal … Traditionally, the filters are linearly distributed on perceptual frequency scale such as mel scale. More general stft filter banks are obtained by using different windows and hop sizes, but otherwise are no different from the basic dft filter bank. I designed this module with the moog 914 filter bank in mind. Filter bank is a fantastic multimode filter for both producers and dj's. A powerful analog filtering and distortion unit with a huge frequency range and a killing tube overdrive behavior. Filter bank v3 is a fantastic multimode filter for both producers and dj's. In this article, we address the shortcomings of ofdm in these and other applications and show that filter bank multicarrier (fbmc) could be a more effective solution. Abstract—this paper introduces lter bank multicarrier (fbmc) as a potential candidate in the application of massive mimo communication.
Alibaba.com offers 3,897 filter bank products. Switched filter banks from the leading manufacturers are listed below. Filter banks on spectrums play an important role in many audio applications. Filter bank v3 is a fantastic multimode filter for both producers and dj's. One application of a filter bank is a graphic equalizer.
Filter Bank from yusynth.net A lowpass filter rejects high frequencies and does not affect low frequencies. In this article, we address the shortcomings of ofdm in these and other applications and show that filter bank multicarrier (fbmc) could be a more effective solution. Relatively simple, the filters provide good. Filter bank v3 is a fantastic multimode filter for both producers and dj's. Filter bank — a filter bank is an array of band pass filters that separates the input signal into several components, each one carrying a single frequency subband of the original signal. It also points out the advantages of fbmc over ofdm. During the last two decades, multirate filter banks have found various applications in many different areas, such as speech coding, scrambling, adaptive signal processing, image compression, signal. The filter bank uses a prototype lowpass filter and is implemented using a polyphase structure.
You can specify the filter coefficients directly or through design parameters.
Filter bank — a filter bank is an array of band pass filters that separates the input signal into several components, each one carrying a single frequency subband of the original signal. Combining 5 different filter types, lfo's, with pure analogue modelled dirt this filter sounds fantastic. I designed this module with the moog 914 filter bank in mind. It also points out the advantages of fbmc over ofdm. You can specify the filter coefficients directly or through design parameters. Filter bank is a fantastic multimode filter for both producers and dj's. The filter bank uses a prototype lowpass filter and is implemented using a polyphase structure. Filter bank v3 is a fantastic multimode filter for both producers and dj's. A powerful analog filtering and distortion unit with a huge frequency range and a killing tube overdrive behavior. Based on high filter technologies, they are working together to find out the. One application of a filter bank is a graphic equalizer. Alibaba.com offers 3,897 filter bank products. Since its debut in 1998, filterbank has become a legend within the audio community.
Filter bank — a filter bank is an array of band pass filters that separates the input signal into several components, each one carrying a single frequency subband of the original signal. A wide variety of filter bank options are available to you, such as material, output interface, and input interface. Switched filter banks from the leading manufacturers are listed below. A lowpass filter rejects high frequencies and does not affect low frequencies. One application of a filter bank is a graphic equalizer.
Filter Banks Ltpda Toolbox from www.lisamission.org Filter bank v3 is a fantastic multimode filter for both producers and dj's. Filter bank is a fantastic multimode filter for both producers and dj's. Beautiful analogue modelled filter bank. With every polyphase filter bank i have worked with, the first block in the analysis phase is an ifft, and the block in the synthesis phase is a dft. In this article, we address the shortcomings of ofdm in these and other applications and show that filter bank multicarrier (fbmc) could be a more effective solution. Filter bank — a filter bank is an array of band pass filters that separates the input signal into several components, each one carrying a single frequency subband of the original signal. Easy and fun to use, live and in the studio. Inverse dft and the dft filter bank sum.
The polyphase filter bank is common to all layers of mpeg/audio compression.
One application of a filter bank is a graphic equalizer. A lowpass filter rejects high frequencies and does not affect low frequencies. Another application of filter banks is signal compression when some frequencies are more important than others. With every polyphase filter bank i have worked with, the first block in the analysis phase is an ifft, and the block in the synthesis phase is a dft. A powerful analog filtering and distortion unit with a huge frequency range and a killing tube overdrive behavior. Based on high filter technologies, they are working together to find out the. During the last two decades, multirate filter banks have found various applications in many different areas, such as speech coding, scrambling, adaptive signal processing, image compression, signal. A valuable tool in and out of the studio for both producers and dj's. More general stft filter banks are obtained by using different windows and hop sizes, but otherwise are no different from the basic dft filter bank. Filter bank v3 is a fantastic multimode filter for both producers and dj's. Alibaba.com offers 3,897 filter bank products. Traditionally, the filters are linearly distributed on perceptual frequency scale such as mel scale. The filter bank uses a prototype lowpass filter and is implemented using a polyphase structure.